Home Up

Aksara jawa
Aksara jawa Serat Jaka Lodhang Serat Sabdatama Serat Sabdajati Asthabrata Serat Tripama Serat Kalatidha Wirid Hidayat Jati

 

[Under Construction]

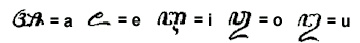
Aksara jawi wonten 20 (kalih dasa) kados ingkang kaserat ing ngandhap.

 

 

 

 

Tanda Jeneng Conto Wacan

wulu

ki
pepet
ke
taling
talingtarung
ko
suku
ku
cecak
kang
layar
kar
wignyan
kah
cakra
kra
keret
kre
péngkal
kya
patén
ak

 

 

 

 

 

 

 

 

 

 

 

 

 

 

 

 

 

 

 

 

 

Angka Jawa

 

Aksara Murda

 

Aksara Rekan (Vokal)